图
图是一组由边连接 的顶点。任何二元关系都可以用图来表示。社交网络、道路等都可以用图来表示。
例如下面的好友关系图:

图与树的结构相似,他们都是非线性数据结构,而树是图的特殊情况。
图的表示
一个图可以用公式 G = (V, E) 来表示。其中:
V表示一组顶点;E表示一组边,用以连接V中的顶点;

一个顶点的度是其相邻顶点的数量。如上图中的 A 顶点,他与 E 和 B 顶点相邻,度是 2。 C 值与 B 相邻,度是 1。
图可分为 有向图 和 无向图。
有向图表示有方向性,如果图中每两个顶点间在双向上都存在路径,则该图是强连通的。
图的边还可以加权,这样的图称为加权图。

邻接表
图可以用邻接表表示。

图的简单实现
首先需要先定义一个数组,用来存储图的顶点;还需要一个字典,用来存储该顶点相邻的其他顶点,相邻顶点用集合存储,以免重复,就像邻接表一样。
class Graph<T> {
protected vertex: T[]; // 顶点
protected neighbor: Map<T, Set<T>>; // 相邻顶点
protected isDirected: boolean; // 默认是 false,表示是一个无向图
constructor(isDirected = false){ // 默认是无向图
this.isDirected = isDirected;
this.vertex = [];
this.neighbor = new Map();
}
}
添加顶点
往 vertex 中 push 数据:
addVertex(...vertex: T[]): void{ // 可以一次性添加多个顶点
vertex.forEach(item => {
// 数组中没有时才添加
if(!this.vertex.includes(item)){
this.vertex.push(item);
// 设置这个顶点邻居
this.neighbor.set(item, new Set());
}
});
}
添加边
有了顶点,还需要添加相邻的其他顶点构成一条条边。代码如下:
addEdge(vertex: T, ...neighbor: T[]): void{
const n = this.neighbor;
if(!n.get(vertex)){
// 顶点数组中没有该顶点,需要先添加
this.addVertex(vertex);
}
neighbor.forEach(item => {
// neighbor 也是顶点,也需要添加进数组
if(!n.get(item)){
this.addVertex(item);
}
});
// 拿到临边
neighbor.forEach(item => n.get(vertex)?.add(item));
// 如果是无向图 还需要把 vertex 作为 neighbor 的临边,无向图相当于是强连通
if(!this.isDirected){
neighbor.forEach(item => {
n.get(item)?.add(vertex);
});
}
}
这里可以给顶点一次添加多个边。
toString
可以实现一个 toString 方法,它可以打印出图的邻接表表示。
toString(){
var neighbor = this.neighbor;
var vertex = this.vertex;
for(let i = 0;i < vertex.length;i ++){
const nSet = neighbor.get(vertex[i]) as Set<T>;
// Array.from 可以把一个迭代器转变成数组
var str = Array.from(nSet.values()).join(" ");
console.log(`${vertex[i]} --> ${str}\n`);
}
}
OK,实例化测试一下:
let g = new Graph<string>();
g.addVertex('A', 'B', 'C', 'D', 'E', 'F');
g.addEdge('A', 'B', 'E');
g.addEdge('B', 'D', 'F');
g.addEdge('D', 'C', 'F');
g.addEdge('E', 'G', 'C');
g.toString();
控制台输出结果:
图的遍历
图的遍历分为 广度优先搜索 和 深度优先搜索。
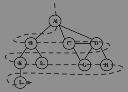
广度优先搜索(BFS)
广度优先搜索的搜索步骤:
- 给定一个顶点,作为搜索入口;
- 访问顶点的所有临点,然后再访问每个临点的所有临点;
广度优先搜索一次访问图的一层。

广度优先搜索会将顶点存入队列中,最先入队的顶点先被探索。
这里有一个注意点,无向图相当于强连通,假如 A 的临点有 B,当遍历完 A 后,开始遍历 B,A 顶点已经被探索过了,在探索 B 时就不需要再探索 A 了,需要有一个状态标记一下 A,表示已经探索过了。
要标记已经访问过的顶点,可以使用三种颜色反应顶点的状态:
- 白色:表示这个顶点还没有被访问;
- 灰色:表示这个顶点被访问过,但并没有探索过;
- 黑色:表示这个顶点已经被探索;
这就需要先标记一下顶点状态。改造一下原来的代码:
const Graph = (function(){
// 定义状态
enum Color { WHITE, GRAY, BLACK };
return class Graph<T>{
constructor(){
// ....
}
// 初始化顶点状态
protected initColor(){
// 用字典保存每个顶点的状态
let color = new Map<T, Color>();
this.vertex.forEach(item => {
color.set(item, Color.WHITE);
});
return color;
}
}
})();
接下来就编写广度优先搜索算法。
bfs(startVertex: T, callback: (node: T) => any){
const vertex = this.vertex;
const neighbor = this.neighbor;
// 数组中没有传入的顶点
if(!vertex.includes(startVertex)) return;
let queue:T[] = [startVertex]; // 设置一个队列,用来存放顶点
let colorMap = this.initColor(); // 拿到初始化的顶点状态
// 遍历顶点
while(queue.length){
let now = queue.shift() as T; // 出队
// 变更状态
colorMap.set(now, Color.GRAY);
// 获取到顶点的 临点,添加到队列里
const neighbors = neighbor.get(now) as Set<T>;
neighbors.forEach(n => {
// 判断一下临点是不是已经在队列中了
// 如果状态还是白色,说明是一个新的顶点
if(colorMap.get(n) === Color.WHITE){
colorMap.set(n, Color.GRAY);
queue.push(n);
}
});
// 别忘了设置状态,表示该顶点已探索
colorMap.set(now, Color.BLACK);
// 把探索到的顶点传给回调函数做进一步的操作
if(typeof callback === "function")
callback(now);
}
}
这里直接用数组模拟了队列。测试一下:
let g = new G<string>();
g.addVertex('A', 'B', 'C', 'D', 'E', 'F');
g.addEdge('A', 'B', 'E');
g.addEdge('B', 'D', 'F');
g.addEdge('D', 'C', 'F');
g.addEdge('E', 'G', 'C');
let arr: string[] = [];
g.bfs('A', (node) => {
arr.push(node);
});
console.log(arr);
- 以顶点 A 作为起点,B E 两顶点会先入队;
- 然后探索 B 顶点,把 B 顶点的临点入队;
- 然后探索 E 顶点,把 E 顶点的临点入队;
- ...
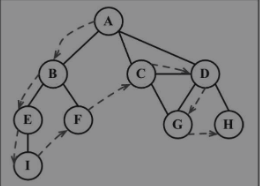
深度优先搜索(DFS)
深度优先搜索会将顶点存入栈中,函数执行环境就是在栈中进行的,就可以使用递归来实现深度优先搜索,深度优先遍历会往下“深层”的探索。

代码如下:
dfs(startVertex: T, callback: (node: T) => any){
const vertex = this.vertex;
const neighbor = this.neighbor;
// 递归函数
var deepVisit = function(node: T, colorMap: Map<T, Color>, cb: (node: T) => any){
colorMap.set(node, Color.GRAY);
// 在这里调用回调
if(typeof cb === "function")
cb(node);
const neighbors = neighbor.get(node) as Set<T>;
neighbors.forEach(n => {
// 别忘了做判断,只有白色状态时才执行递归
if(colorMap.get(n) === Color.WHITE){
deepVisit(n, colorMap, cb);
}
});
colorMap.set(node, Color.BLACK);
// 如果在这里调用回调,将是最深层的那个顶点
}
if(!vertex.includes(startVertex)) return;
const colorMap = this.initColor();
for(let i = 0;i < vertex.length;i ++){
if(colorMap.get(vertex[i]) === Color.WHITE){
// 只有是白色时才遍历,这说明这个顶点还没有被访问
deepVisit(vertex[i], colorMap, callback);
}
}
}
寻找最短路径
假设你要去旅游,从 A 地前往 B 地,有好几条路可以到达 B 地,为了节省时间,需要找到一条最短的路径。不考虑加权图,假设每条边的加权值一样。

从图中很明显能看出 A 到 B 的最短路径是 A --> C --> B。